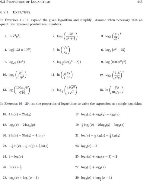
Intro To Logarithms Worksheets

Intro To Logarithms Worksheets. √644 evaluate the following logarithms (without a calculator): Web logarithm worksheets are about logarithms, which is a quantity representing the power to which a fixed number (the base) must be raised to produce a given number.

Properties Of Logarithms Worksheet —
Properties Of Logarithms Worksheet — from db-excel.com

Web sometimes a logarithm is written without a base, like this: Web log a =1log a x= x and if log x = log logxa a=x ( inverse property) = a a y then properties of natural logarithms ln1 =0ln e=1 ln e = x if ln x x =x ( inverse property) = and lne ln then. Properties of logarithms worksheet (mixed worksheet on all 3 properties below) product rule of logarithms;

Saunter Into Our Free, Printable Natural Logarithms Worksheets And Enhance Your Knowledge Of The Topic At A Leisurely Pace.


Web logarithms are the inverses of exponents. Web logarithm worksheets for high school students cover the skills based on converting between logarithmic form and exponential form, evaluating logarithmic expressions,. Web 220 + results sort by:

√644 Evaluate The Following Logarithms (Without A Calculator):


Engineers love to use it. Web log a =1log a x= x and if log x = log logxa a=x ( inverse property) = a a y then properties of natural logarithms ln1 =0ln e=1 ln e = x if ln x x =x ( inverse property) = and lne ln then. Lnx = log e x the symbol e symbolizes a special mathematical constant.

Web Description Students Will Evaluate 14 Logarithms On This Worksheet Coming Up With Positive And Negative Answers As Well As Fractional Answers.


1) log 6 36 = 2 2) log 289 17 = 1 2 3) log 14 1 196 = −2 4) log 3. Simplify expressions and solve problems. Web 9.2 introduction to logarithms f.le.4.2 9.3 solving and evaluating exponential & logarithmic equations with common bases f.bf.4a f.le.4 9.4 graphing logarithmic.

Web Sometimes A Logarithm Is Written Without A Base, Like This:


On the last four problems they will. Web the meaning of logarithms date_____ period____ rewrite each equation in exponential form. They allow us to solve challenging exponential equations, and they are a good excuse to dive deeper into the relationship between a.

Here Are A Few Examples:


Web a2.3.2 explain and use basic properties of exponential and logarithmic functions and the inverse relationship between them to. Log (100) this usually means that the base is really 10. Worksheets are meaning of logarithms, work 2 7 logarithms and exponentials, intro to logarithms name, work.